Hjärt-kärlsjukdomar i Sverige #
Studier från Nationella diabetesregistret (NDR) som baseras på alla individer med diabetes i Sverige och jämförs med ålder- och könsmatchade kontroller som inte har diabetes från bakgrundspopulationen visar att allvarliga hjärt-kärlsjukdomar har minskat kraftig bland både individer med diabetes och bakgrundspopulationen.
Studien nedan presenterar resultat för fatala händelser, dvs dödsfall relaterade till ischemisk hjärtsjukdom, stroke, hjärtinfarkt samt icke-fatal kardiovaskulär sjukdom. Studien visar att mellan 1998 till 2014 noteras en 40-60% minskning av hjärt-kärlsjukdomar bland individer med diabetes.
Typ 2 diabetes

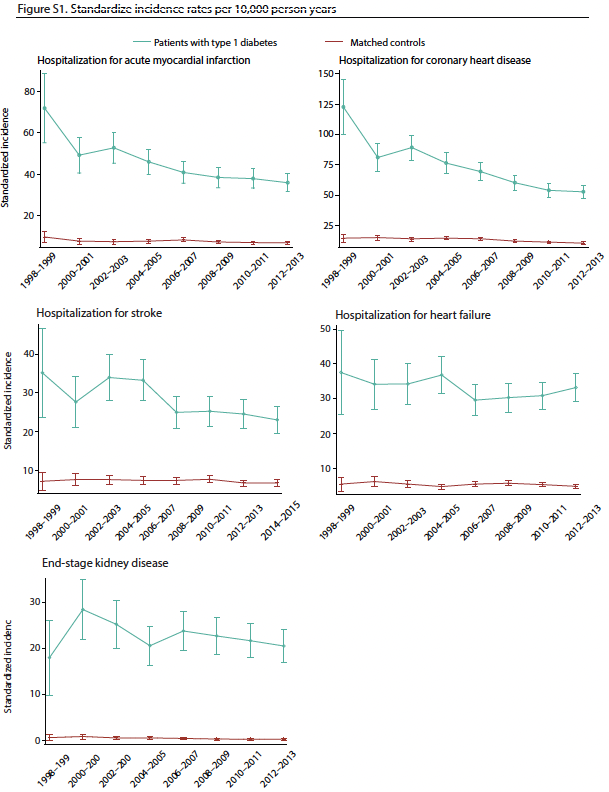
Typ 1 diabetes trender

Resultaten visar en kraftig minskning av både fatala- och icke-fatala händelser både bland individer med typ 1 diabetes och typ 2 diabetes. Studien sträcker sig från 1998 till 2014 och visar att samtliga utfall har minskat men aterotrombotiska händelser, dvs stroke och hjärtinfarkt medan hjärtsvikt har minskat lite mindre och framstår som en ny viktig komplikation för individer med diabetes.
Uppdaterad studie för hjärt-kärlsjukdomar i Sverige
Studien ovan är en uppdaterad studie som endast inkluderar individer med typ 2 diabetes och matchade kontroller. Det är en uppdaterad studie från 2001-2020 och inkluderar en frisk studiekohort utan några hjärt-kärlsjukdomar. Resultaten visar en oerhört kraftig minskning av hjärtinfarkt, stroke och ischemisk hjärtsjukdom (kranskärlssjukdom) medan hjärtsvikt har minskat mindre än övriga komplikationer.
Kontroll av riskfaktorer och komplikationer (typ 2 diabetes)
Optimal riskfaktorkontroll innebär att individer med diabetes kontrollerar samtliga traditionella och modifierbara riskfaktorer såsom blodtryck, blodfetter, blodsocker, njurfunktion och rökning. Nedanstående figur visar hur risksambandet ser ut för de individer som kontrollerar en eller flera riskfaktorer.
Analyserna visar att det finns en tydlig riskminskning för de med optimal riskkontroll för ischemisk hjärtsjukdom, hjärtinfarkt och stroke medan de inte går att eliminera den förhöjda risken för hjärtsvikt, oavsett hur många riskfaktorer man kontrollerar.
Betydelsen av kardiovaskulära riskfaktorer
Den relativa betydelsen av riskfaktorer innebär att man uppskattar vilken betydelse som har störst betydelse för att motverka uppkomsten av ett utfall. I analyserna nedan ser vi att vissa riskfaktorer är viktigare än andra.
Dessutom har betydelsen av riskfaktorer ändrat över tid eftersom nya behandlingsmetoder har lanserats under studieperioden, samt att vi blivit bättre på att kontrollera och behandla vissa riskfaktorer, vilket innebär att betydelsen av andra sämre kontrollerade riskfaktorer stiger i betydelse.
