STEP-UP: 7.2 mg semaglutid (Wegovy) ger 18.7% viktminskning
Denna genomgång av forskningsresultat kan nämna resultat och effekter som saknar godkänd indikation i Sverige. FASS-texten för varje läkemedel klargör gällande indikationer.
Framgångarna med GLP-1-receptoranaloger (GLP-1-RA) har medfört att ambitionen för denna läkemedelsklass har ökat de senaste åren. Nya läkemedelskandidater och kombinationspreparat utvecklas i raskt tempo. Det återstår att se vilket läkemedel eller läkemedelskombination som ger störst viktminskning, minst biverkningar och flest positiva effekter på samsjuklighet. GLP-1-RA har nämligen visat positiva effekter på samsjuklighet som fettlever, artros, dyslipidemi, hypertoni, hjärtsvikt, kardiovaskulär sjukdom, osv, och det återstår att se om dessa observationer är en klasseffekt eller läkemedelsspecifik.
STEP-UP-studien undersökte effekten och säkerheten av en högre dos semaglutid (7.2 mg en gång per vecka) för behandling av obesitas, jämfört med den godkända dosen 2.4 mg och placebo. I studien inkluderades 1407 vuxna patienter med obesitas (BMI minst 30 kg/m2), som gjort tidigare försök till viktnedgång, förutsatt att de inte hade diabetes. I STEP-UP gjordes en hastig dosökningen från 2.4 mg till 7.2 mg (tredubblad dos) vecka 20. Injektionspennorna var identiska, liksom injektionsvolymen.

Resultat
Figurerna visar viktnedgång fram till vecka 72. Viktnedgång för 7.2 mg semaglutid var 18.7% i genomsnitt för de patienter som gick med i studien. Viktnedgången var 20.7% för patienter som fortsatte med behandlingen (7.2 mg) under studiens gång.


Bland individer som var normoglykema vid studiens start utvecklade ingen diabetes med doserna 2.4 mg och 7.2 mg. Bland individer med pre-diabetes vid studiens start utvecklade ingen diabetes under studiens gång om de behandlades med 7.2 mg semaglutid. Studiens syfte var inte att undersöka förebyggande av diabetes, varför dessa resultat ska ses som explorativa.

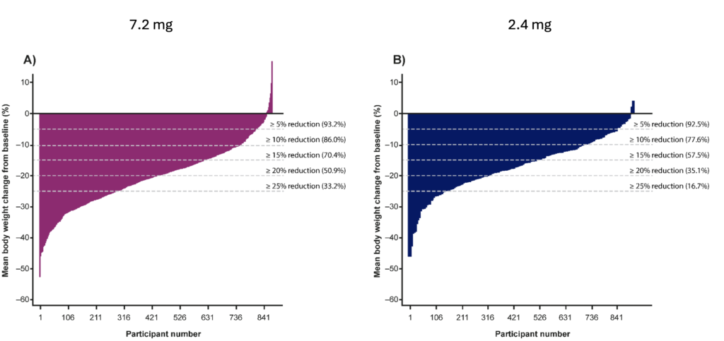
Figuren nedan visar varje individs viktförändring under studiens gång.

- 33.2% hade minst 25% viktnedgång med 7.2 mg semaglutid.
- 93.2% hade minst 5% viktnedgång.
- 16.7% hade minst 25% viktnedgång med 2.4 mg semaglutid.
- 92.5% hade minst 5% viktnedgång.
- Ett fåtal individer har ingen effekt av läkemedlet.
I en subgrupp i STEP-UP genomgick deltagarna magnetkameraundersökning för att kvantifiera hur stor del av kroppsmassan som utgjordes av fett (fettmassa) samt andra vävnader (fettfri massa; dvs muskler, organvävnad, skelett). Studien visade att med semaglutid (2.4 mg eller 7.2 mg) minskade den fettfria massan med 6.7%. Av den totala viktförlusten utgjordes fettfri massa av 15.6%, vilket var lägre än förväntat. Det gjordes även sitt-till-stå test, vilket undersöker muskelstyrka, och testet visade förbättring av muskelstyrka i samtliga grupper. Det fanns ingen statistiskt signifikant skillnad mellan gruppernas resultat på sitt-till-stå test, men det numeriska värdet var högre (bättre) för semaglutid jämfört med placebo.

Tirzepatid (Mounjaro) resulterade (studien SUMOUNT-1) i en viktminskning på 20.9% med dosen 15 mg. Patienter som fullföljde behandlingen fick en viktminskning på 22.5%. Detta är något mer än viktminskningen som sågs med 7.2 mg semaglutid, men skillnader i studiepopulationer (t ex hade deltagarna i STEP-UP något högre kroppsvikt och större midjeomfång) och frånvaro av formell statistisk jämförelse mellan effekterna, gör att slutsatser inte bör dras. Det står däremot klart att båda behandlingar är mycket effektiva.

Totalt andel som upplever biverkningar är något fler med dosen 7.2 mg, jämfört med 2.4 mg, men andelen med allvarliga biverkningar är något färre med den högsta dosen. En mindre andel (ca 5%) av studiedeltagarna avslutar behandlingen pga biverkningar.

Konklusion
Semaglutid 7.2 mg en gång per vecka gav större och kliniskt mer betydelsefull viktnedgång än den nuvarande standarddosen 2.4 mg och placebo hos personer med obesitas utan diabetes, med en säkerhetsprofil liknande andra GLP-1-behandlingar. Dosen 7.2 mg är godkänd i EU och Sverige. Pennor på 7.2 mg finns inte tillgängliga 2026-03-09.
Jävsdeklaration
Författaren har erhållit föreläsnings och konsultarvoden från Novo Nordisk, Amgen, AstraZeneca, Stryker, Medtronic. Ingen ersättning har erhållits för denna artikel.
